Lernpfad A: Beweisen

Überblick Im Überblick findest du eine Zusammenfassung von Lernpfad B.

Aufgaben Hier findest du die Aufgaben zu Lernpfad B.

Dein Lernfortschritt:

LebensweltDefinitionEigenschaftenPunktea als BruchBeweis

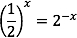
Einen kleiner mathematischer Beweis:

Beweise durch die Anwendung der Potenzgesetze, dass folgendes gilt:

[Lösung]: Beweis



Überblick Im Überblick findest du eine Zusammenfassung von Lernpfad B.

Balkendiagramm Bitte melde mir anonym deine Verbesserungsvorschläge zurück (2 min).

Nach oben scrollen

Durch die weitere Nutzung der Seite stimmst du der Verwendung von Cookies zu. Weitere Infos

Die Cookie-Einstellungen auf dieser Website sind auf "Cookies zulassen" eingestellt, um das beste Surferlebnis zu ermöglichen. Wenn du diese Website ohne Änderung der Cookie-Einstellungen verwendest oder auf "Akzeptieren" klickst, erklärst du sich damit einverstanden.

Schließen